יחידה 9: ציוני תקן וההתפלגות הנורמלית  >> 9.1: ציוני תקן

המשך מדדים למיקום יחסי – ציוני תקן

                                    

ציון תקן מייצג את מיקומו של ערך בהתפלגות ביחס לממוצע, תוך התחשבות בפיזור ההתפלגות (סטיית תקן).

ציון תקן מאפשר להשוות בין ערכים המתקבלים מהתפלגויות שונות תוך נטרול סקאלות המדידה המקוריות של ההתפלגויות.

שימו לב להשוואה בין מיקומו של אותו ערך בין שתי ההתפלגויות המופיעות מטה: בהתפלגות העליונה הפיזור הינו גדול ואילו בהתפלגות התחתונה הפיזור קטן יותר. עקב כך, הערך בהתפלגות התחתונה הינו קיצוני יותר, משמע שהוא נמצא באחוזון גבוה יותר ויש פחות ערכים מעליו בהתפלגות. 

 

 

ציון תקן מסומן ע"י האות z והוא בעצם מבטא את המרחק שבין הערך לממוצע ההתפלגות ביחידות של סטיות תקן.

באוכלוסייה:   

במדגם:   

 

פרט שציון התקן שלו שווה ל-1, מרוחק מהממוצע בסטיית תקן אחת.

התפלגות ציוני תקן

 

אם נמיר את כל ערכי ההתפלגות לציוני תקן, נקבל התפלגות של ציוני תקן.

 

להתפלגות ציוני התקן יהיה תמיד ממוצע=0 וסטיית תקן=1.

 

הוכחה:

לכל ערך אנו מוסיפים קבוע  ומכפילים בקבוע .

 

z הוא בעצם טרנספורמציה לינארית של x באמצעות a ו-b: ,

כאשר

עתה נציב במקום x את הממוצע שלו למציאת הממוצע של z:

כזכור,הוספת קבוע אינה משפיעה על סטיית תקן אולם חלוקה בקבוע מחלקת את סטיית התקן באותו קבוע.

לכן סטיית התקן של z  תהיה שווה לסטיית התקן של x  לחלק לקבוע (סטיית התקן שלו): .

 

תכונה של ציוני תקן – סכום ציוני התקן בריבוע שווה ל-N

 

תזכורת:  , ולכן

הוכחה:

דוגמא:  שימוש בציוני תקן בכדי להשוות שתי התפלגויות שונות:

ליאור קיבל ציון 75 בחשבון ו-90 בספרות. אמו טענה שעליו להשקיע יותר בחשבון.  האם היא צודקת?

 

נתוני הכיתה:

חשבון: ממוצע = 70, סטיית תקן = 2.5

ספרות: ממוצע = 85, סטיית תקן = 5

 

פתרון:

חשבון:

ספרות:

לכן בחשבון הוא יותר טוב מאשר בספרות (יחסית לכיתתו). עליו להשקיע יותר בספרות.

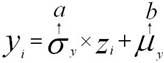
המרת ציוני תקן לסקלה אחרת

 

ניתן להמיר ציוני תקן לכל סקלה רצויה, וזאת ע"י הכפלה בסטיית התקן הרצויה והוספת הממוצע הרצוי. 

 

 

 

כך עושים לדוגמא עם ציוני ה-

ועם ציוני הפסיכומטרי:  

► חזור                    המשך ◄